Contributo della Deformazione a Taglio
La risoluzione di una struttura iperstatica dovrebbe essere effettuata, a rigore, considerando anche la deformazione a taglio. Nel caso di travi snelle (l/h>10) la deformazione a taglio risulta percentualmente piccola rispetto a quella flessionale e viene solitamente trascurata. Esiste tuttavia un campo di valori del rapporto l/h in cui la trave pur non essendo snella non risulta neanche troppo tozza e pertanto risulta lecito applicare ancora le formule delle travi conteggiando pero' anche il contributo della deformazione a taglio. Se ci si trova in una situazione di questo tipo occorre considerare il contributo del taglio sia nel valutare i coefficienti della matrice di rigidezza che le reazioni di incastro perfetto.
La matrice di rigidezza nel sistema di riferimento locale, considerando anche il contributo della deformazione a taglio, risulta:
avendo posto:
la corrispondente matrice di rigidezza nel sistema di riferimento globale risulta:
[KGLOjk]=[RLTOGjk]·[KLOCjk]·[RGTOLjk]
Relativamente al calcolo delle reazioni di incastro perfetto nel sistema di riferimento locale conviene scorporare le componenti di carico normali all'asse longitudinale (per cui occorre in generale supporre un contributo non nullo del taglio) da quelle tangenziali allo stesso asse (che determinano soltanto sollecitazioni assiali).
Per effetto dei carichi normali all'asse longitudinale si hanno questi valori:
Carico Ripartito Uniforme qn
Carico Concentrato Pn,r
avendo posto:
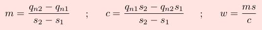
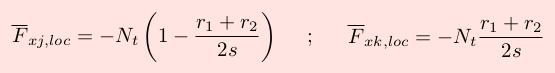
Carico Trapezio qn1,r1,qn2,r2
avendo posto progressivamente:
Coppia Concentrata M,d
avendo posto:
Variazione Termica
avendo cumulato anche le reazioni assiali
Le condizioni di carico tangenziale inducono solamente sforzi assiali. Le reazioni terminali relative risultano:
Carico Ripartito Uniforme qt
Carico Concentrato Pt,r
Carico Trapezio qt1,r1,qt2,r2
avendo posto:
Coppia Concentrata M,r
Per quanto si sia fatto il possibile non si puo' garantire che il prodotto (intendendo per tale qualunque file incluso nel pacchetto di installazione e non soltanto il file eseguibile) sia esente da errori e quindi si demanda agli utenti il compito di trovare conferma per altra via sia dei risultati ottenuti con l'uso del programma che di qualunque indicazione rilevabile dai file annessi al prodotto rigettando questo e qualunque altro tipo di responsabilita' per qualsiasi tipo di danno correlabile con l'uso del prodotto. Chi non accetta la sopracitata clausola di esclusione di responsabilita' non deve usare il prodotto.

















